-
Linear Regression (선형 회귀)Study/Deep Learning 2020. 7. 23. 01:31반응형
Machine Learning (기계 학습)
- Explicit Programming : 일반적인 프로그래밍
- Machine Learning : 스스로 학습하는 것
용어 및 개념
- Supervised Learning : labeled data를 이용해서 각 feature에 대한 label을 학습하는 것
- 종류
Regression : 집넓이에 따른 집값 예측
Binary Classification : True or False, 모 아니면 도 를 고르는 것
Multi-label Classification : A, B, C, D, F 중 무슨 성적을 받을까?
- Unsupervised Learning : non-labeled data, 즉 feature를 이용해서 clustering(grouping)을 하는 것
Deep Learning (딥러닝)
정보(data)가 많아야판단(분류)을 여러가지로 잘 한다.- 머신러닝의 한 분야로써 컴퓨터가 데이터의 feature를 직접 학습하면서 적절한 weight를 찾아내는 것
Linear Regression (선형 회귀)
- 1차 함수를 이용해서 fitting을 한다
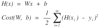
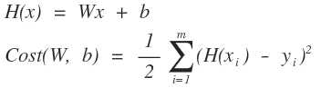
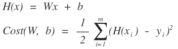
- cost를 최소화 하는 상수 W, b를 찾는 것이 목표

수식1. Hypothesis와 Cost Function 
그림1. 1차 함수. 
그림2. 집넓이에 대한 집값의 변화량 그림2의 오른쪽 데이터를 잘 만족하는 적절한 선(빨간선)을 찾아 가는 것이 학습이다.
반응형